Официальное опубликование правовых актов
ОФИЦИАЛЬНОЕ ОПУБЛИКОВАНИЕ
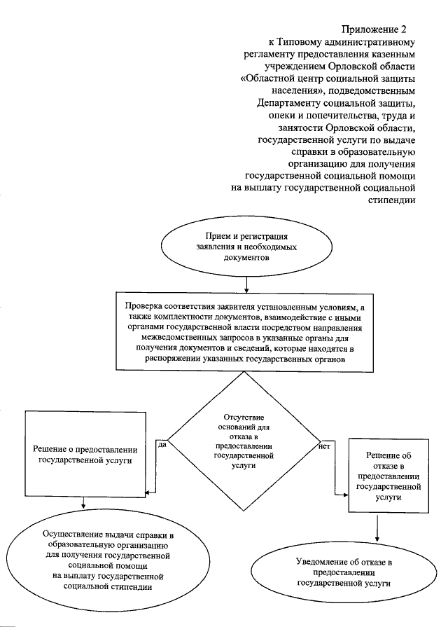
Приказ Департамента социальной защиты, опеки и попечительства, труда и занятости Орловской области от 02.07.2021 № 435
"Об утверждении типового Административного регламента предоставления казенным учреждением Орловской области "Областной центр социальной защиты населения", подведомственным Департаменту социальной защиты, опеки и попечительства, труда и занятости Орловской области, государственной услуги по выдаче справки в образовательную организацию для получения государственной социальной помощи на выплату государственной социальной стипендии"
(Зарегистрирован 05.07.2021 № 284/2021)
Номер опубликования: 5701202107090002
Дата опубликования: 09.07.2021
Страница №29 из 33:
Увеличить