Официальное опубликование правовых актов
ОФИЦИАЛЬНОЕ ОПУБЛИКОВАНИЕ
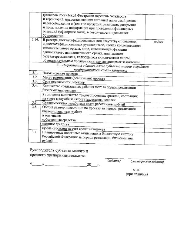
Приказ Департамента экономического развития и инвестиционной деятельности Орловской области от 02.06.2021 № 536
"Об утверждении форм документов, необходимых для участия в конкурсном отборе по определению получателей субсидий на возмещение части затрат, связанных с созданием новых рабочих мест"
(Зарегистрирован 03.06.2021 № 229/2021)
Номер опубликования: 5701202106080002
Дата опубликования: 08.06.2021
Страница №8 из 16:
Увеличить