Официальное опубликование правовых актов
ОФИЦИАЛЬНОЕ ОПУБЛИКОВАНИЕ
Приказ Департамента социальной защиты, опеки и попечительства, труда и занятости Орловской области от 21.01.2020 № 20
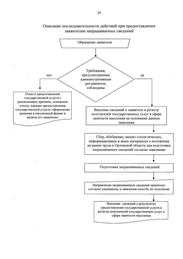
"Об утверждении типового административного регламента предоставления казенными учреждениями Орловской области, подведомственными Департаменту социальной защиты, опеки и попечительства, труда и занятости Орловской области, государственной услуги по информированию о положении на рынке труда в Орловской области"
(Зарегистрирован 23.01.2020 № 15/2020)
Номер опубликования: 5701202001280002
Дата опубликования: 28.01.2020
Страница №32 из 34:
Увеличить