Официальное опубликование правовых актов
ОФИЦИАЛЬНОЕ ОПУБЛИКОВАНИЕ
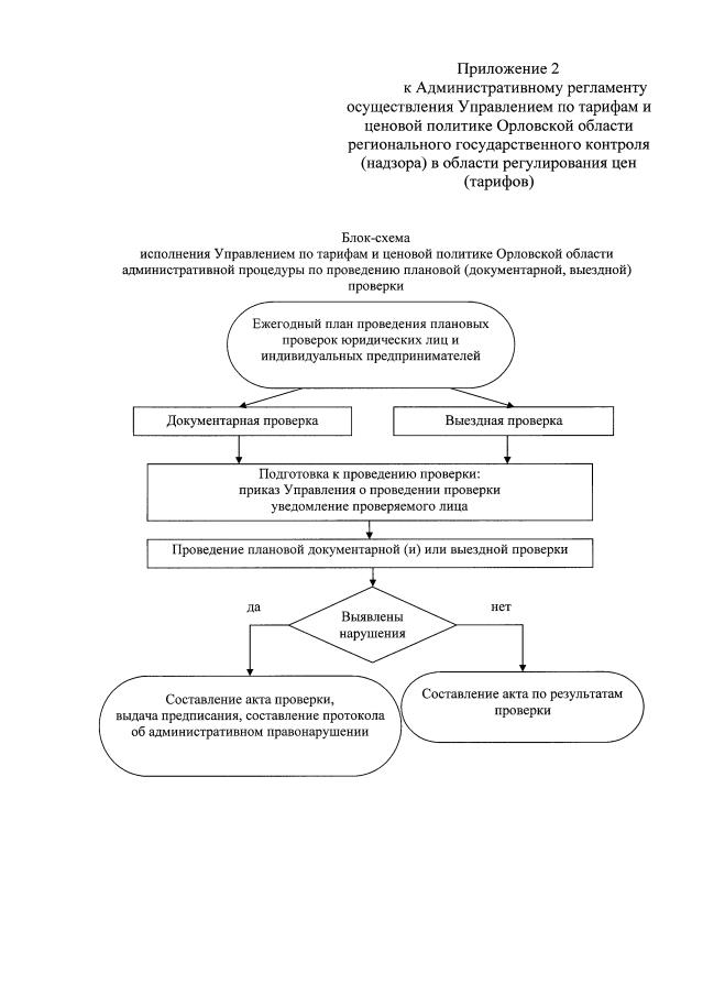
Приказ Управления по тарифам и ценовой политике Орловской области от 11.12.2019 № 422-т
"Об утверждении Административного регламента осуществления Управлением по тарифам и ценовой политике Орловской области регионального государственного контроля (надзора) в области регулирования цен (тарифов)"
(Зарегистрирован 12.12.2019 № 468/2019)
Номер опубликования: 5701201912160017
Дата опубликования: 16.12.2019
Страница №45 из 49:
Увеличить