Официальное опубликование правовых актов
ОФИЦИАЛЬНОЕ ОПУБЛИКОВАНИЕ
Приказ Управления по тарифам и ценовой политике Орловской области от 27.11.2019 № 367-т
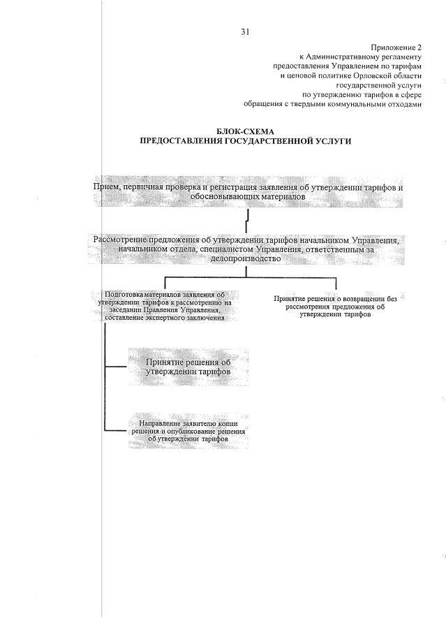
"Об утверждении Административного регламента предоставления Управлением по тарифам и ценовой политике Орловской области государственной услуги по утверждению предельных тарифов в сфере обращения с твердыми коммунальными отходами"
(Зарегистрирован 02.12.2019 № 412/2019)
Номер опубликования: 5701201912040001
Дата опубликования: 04.12.2019
Страница №33 из 33:
Увеличить