Официальное опубликование правовых актов
ОФИЦИАЛЬНОЕ ОПУБЛИКОВАНИЕ
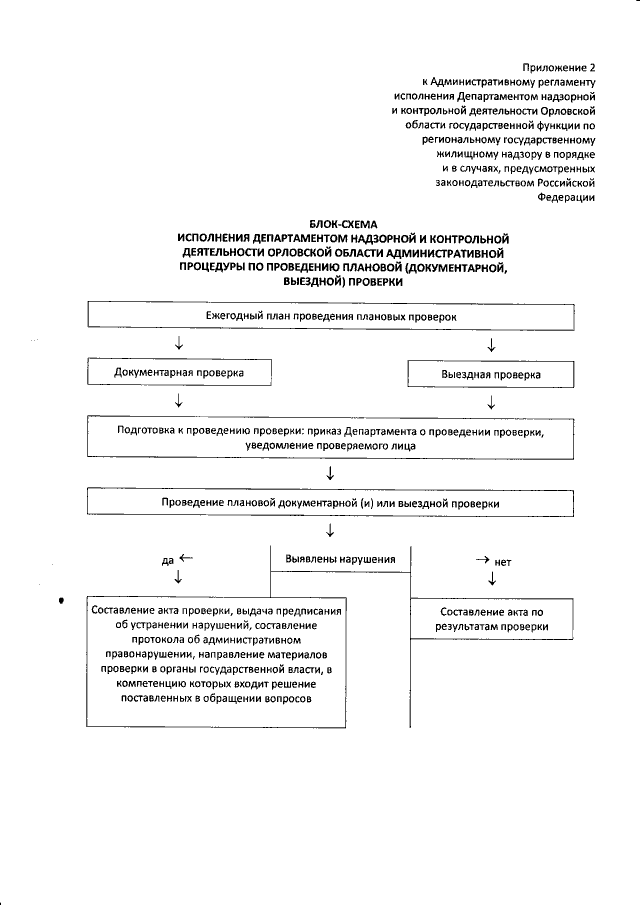
Приказ Департамента надзорной и контрольной деятельности Орловской области от 30.09.2019 № 2148
"Об утверждении Административного регламента исполнения Департаментом надзорной и контрольной деятельности Орловской области государственной функции по региональному государственному жилищному надзору в порядке и в случаях, предусмотренных законодательством Российской Федерации"
(Зарегистрирован 03.10.2019 № 326/2019)
Номер опубликования: 5701201910080003
Дата опубликования: 08.10.2019
Страница №42 из 44:
Увеличить