Официальное опубликование правовых актов
ОФИЦИАЛЬНОЕ ОПУБЛИКОВАНИЕ
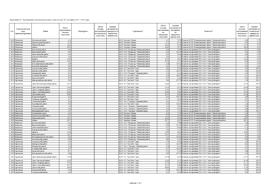
Приказ Департамента строительства, топливно-энергетического комплекса, жилищно-коммунального хозяйства, транспорта и дорожного хозяйства Орловской области от 16.09.2019 № 443
"Об утверждении территориальной схемы обращения с отходами, в том числе с твердыми коммунальными отходами, Орловской области"
(Зарегистрирован 20.09.2019 № 314/2019)
Номер опубликования: 5701201909240001
Дата опубликования: 24.09.2019
Страница №1141 из 1147:
Увеличить