Официальное опубликование правовых актов
ОФИЦИАЛЬНОЕ ОПУБЛИКОВАНИЕ
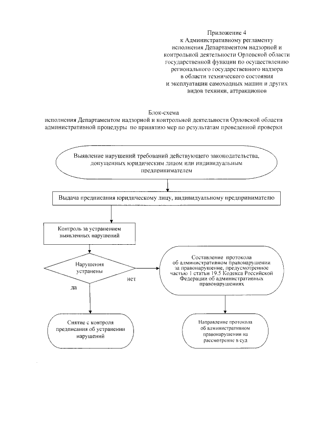
Приказ Департамента надзорной и контрольной деятельности Орловской области от 19.08.2019 № 1674
"Об утверждении Административного регламента исполнения Департаментом надзорной и контрольной деятельности Орловской области государственной функции по осуществлению регионального государственного надзора в области технического состояния и эксплуатации самоходных машин и других видов техники, аттракционов"
(Зарегистрирован 19.08.2019 № 283/2019)
Номер опубликования: 5701201908230001
Дата опубликования: 23.08.2019
Страница №37 из 37:
Увеличить