Официальное опубликование правовых актов
ОФИЦИАЛЬНОЕ ОПУБЛИКОВАНИЕ
Приказ Департамента социальной защиты, опеки и попечительства, труда и занятости Орловской области от 26.07.2019 № 354
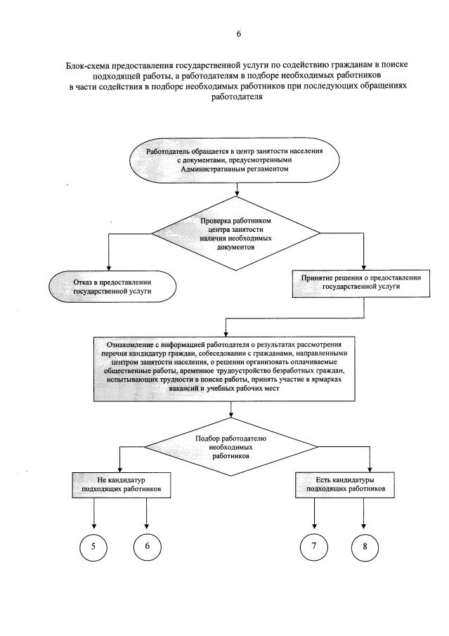
"Об утверждении типового административного регламента предоставления казенными учреждениями Орловской области, подведомственными Департаменту социальной защиты, опеки и попечительства, труда и занятости Орловской области, государственной услуги по содействию гражданам в поиске подходящей работы, а работодателям в подборе необходимых работников"
(Зарегистрирован 30.07.2019 № 266/2019)
Номер опубликования: 5701201908050004
Дата опубликования: 05.08.2019
Страница №59 из 60:
Увеличить