Официальное опубликование правовых актов
ОФИЦИАЛЬНОЕ ОПУБЛИКОВАНИЕ
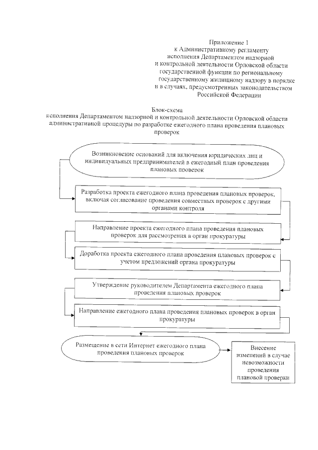
Приказ Департамента надзорной и контрольной деятельности Орловской области от 01.07.2019 № 1213
"Об утверждении Административного регламента исполнения Департаментом надзорной и контрольной деятельности Орловской области государственной функции по региональному государственному жилищному надзору в порядке и в случаях, предусмотренных законодательством Российской Федерации"
(Зарегистрирован 02.07.2019 № 213/2019)
Номер опубликования: 5701201907080004
Дата опубликования: 08.07.2019
Страница №34 из 37:
Увеличить