Официальное опубликование правовых актов
ОФИЦИАЛЬНОЕ ОПУБЛИКОВАНИЕ
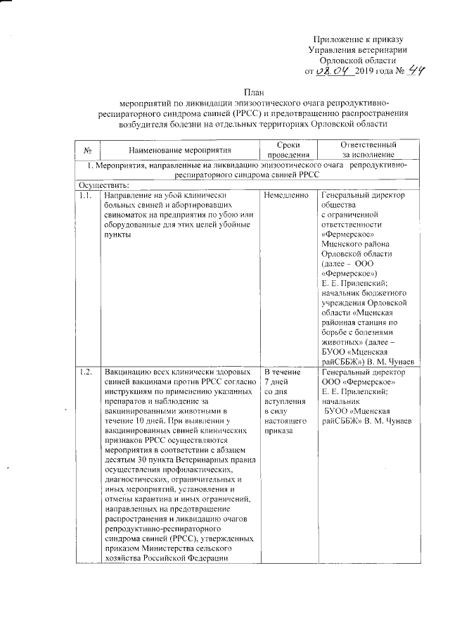
Приказ Управления ветеринарии Орловской области от 08.04.2019 № 44
"Об установлении ограничительных мероприятий (карантина) по репродуктивно-респираторного синдрома свиней (РРСС) на отдельной территории Орловской области"
(Зарегистрирован 09.04.2019 № 110/2019)
Номер опубликования: 5701201904120001
Дата опубликования: 12.04.2019
Страница №4 из 7:
Увеличить