Официальное опубликование правовых актов
ОФИЦИАЛЬНОЕ ОПУБЛИКОВАНИЕ
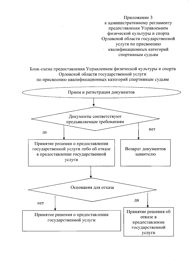
Приказ Управления физической культуры и спорта Орловской области от 03.08.2018 № 452
"Об утверждении административного регламента предоставления Управлением физической культуры и спорта Орловской области государственной услуги по присвоению квалификационных категорий спортивным судьям"
(Зарегистрирован 07.08.2018 № 245/2018)
Номер опубликования: 5701201808090001
Дата опубликования: 09.08.2018
Страница №27 из 27:
Увеличить