Официальное опубликование правовых актов
ОФИЦИАЛЬНОЕ ОПУБЛИКОВАНИЕ
Приказ Управления по государственной охране объектов культурного наследия Орловской области от 25.01.2018 № 20
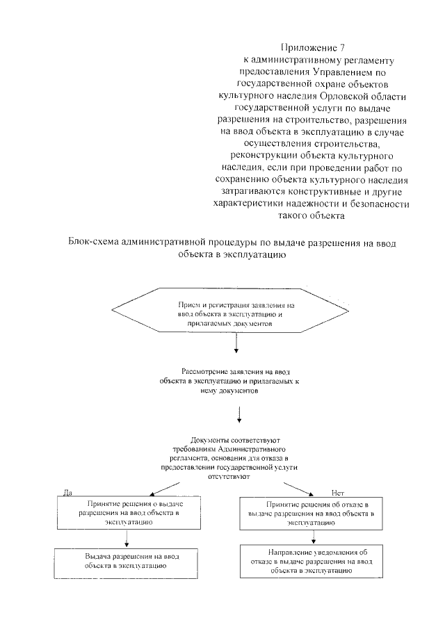
"Об утверждении Административного регламента предоставления Управлением по государственной охране объектов культурного наследия Орловской области государственной услуги по выдаче разрешения на строительство, разрешения на ввод объекта в эксплуатацию в случае осуществления строительства, реконструкции объекта культурного наследия, если при проведении работ по сохранению объекта культурного наследия затрагиваются конструктивные и другие характеристики надежности и безопасности такого объекта"
(Зарегистрирован 25.01.2018 № 20)
Номер опубликования: 5701201801300003
Дата опубликования: 30.01.2018
Страница №46 из 46:
Увеличить