Официальное опубликование правовых актов
ОФИЦИАЛЬНОЕ ОПУБЛИКОВАНИЕ
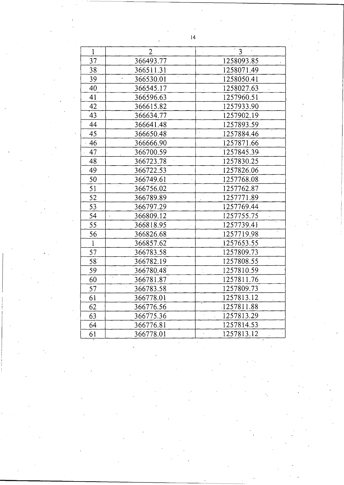
Постановление Правительства Орловской области от 25.12.2025 № 866
"Об установлении зоны охраны объекта культурного наследия регионального историко-культурного значения "Могила мирных жителей, расстрелянных фашистскими захватчиками", 1942 г., расположенного по адресу: Орловская область, Урицкий район, Архангельское с/п, место бывшей д. Колпачки"
Номер опубликования: 5700202512260008
Дата опубликования: 26.12.2025
Страница №16 из 18:
Увеличить