Официальное опубликование правовых актов
ОФИЦИАЛЬНОЕ ОПУБЛИКОВАНИЕ
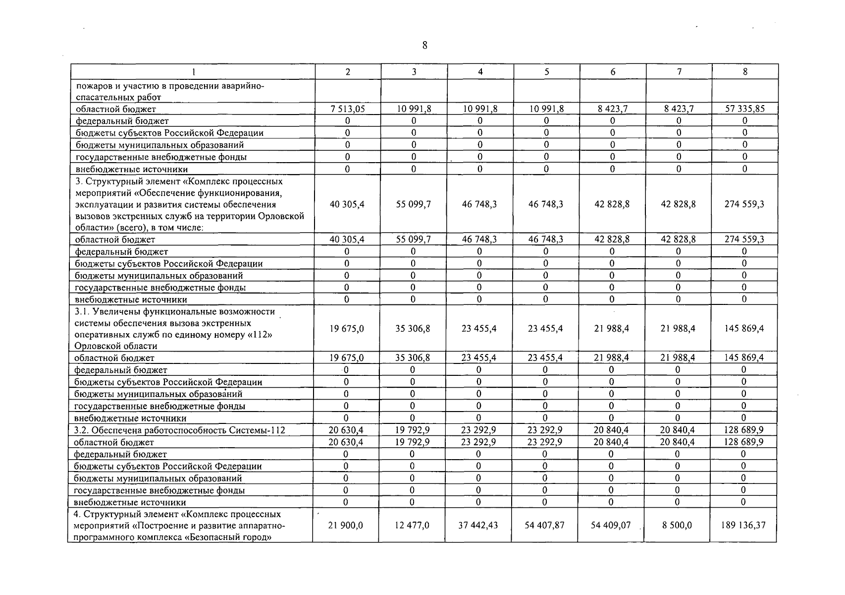
Постановление Правительства Орловской области от 04.12.2025 № 804
"О внесении изменений в постановление Правительства Орловской области от 26 декабря 2019 года № 730 "Об утверждении государственной программы Орловской области "Развитие системы комплексной безопасности в Орловской области"
Номер опубликования: 5700202512050007
Дата опубликования: 05.12.2025
Страница №18 из 32:
Увеличить