Официальное опубликование правовых актов
ОФИЦИАЛЬНОЕ ОПУБЛИКОВАНИЕ
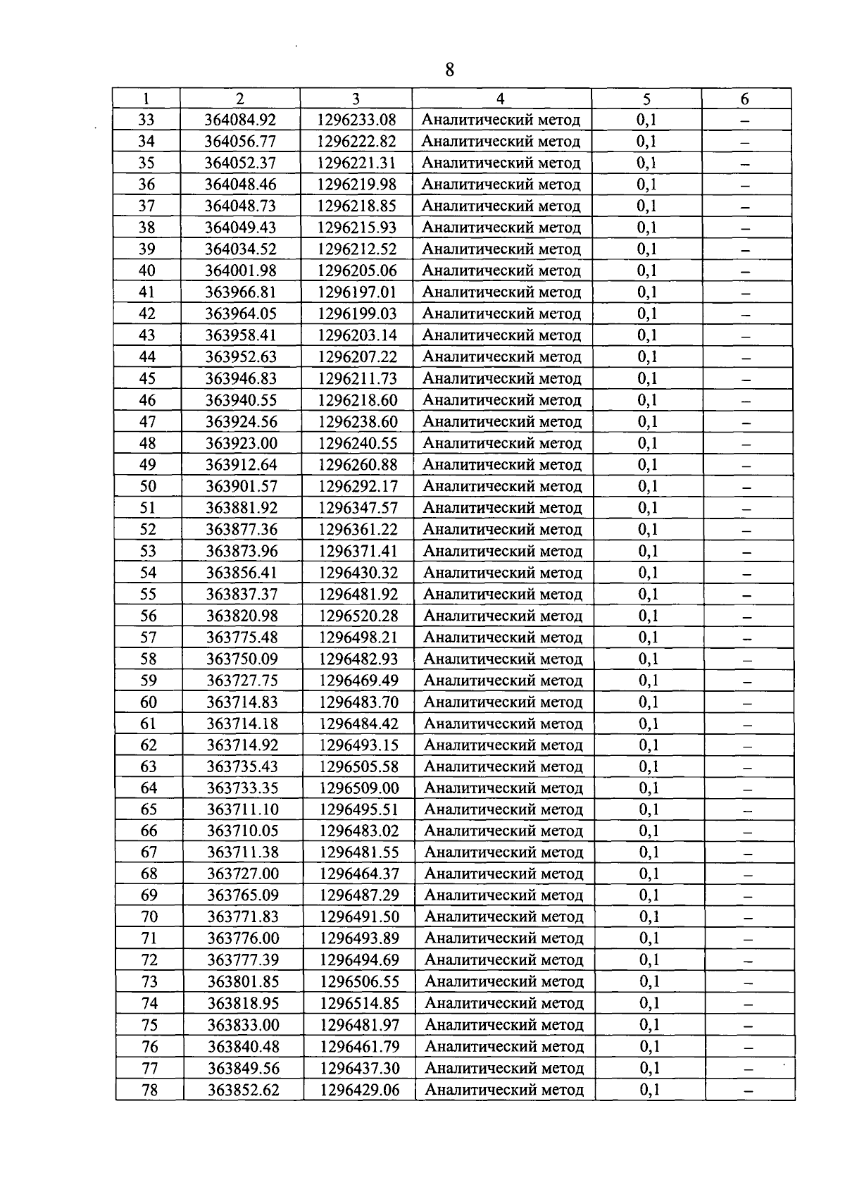
Постановление Правительства Орловской области от 14.11.2025 № 729
"Об установлении публичного сервитута в целях эксплуатации линейного объекта "Газопровод, д. Малая Булгакова"
Номер опубликования: 5700202511170005
Дата опубликования: 17.11.2025
Страница №16 из 22:
Увеличить