Официальное опубликование правовых актов
ОФИЦИАЛЬНОЕ ОПУБЛИКОВАНИЕ
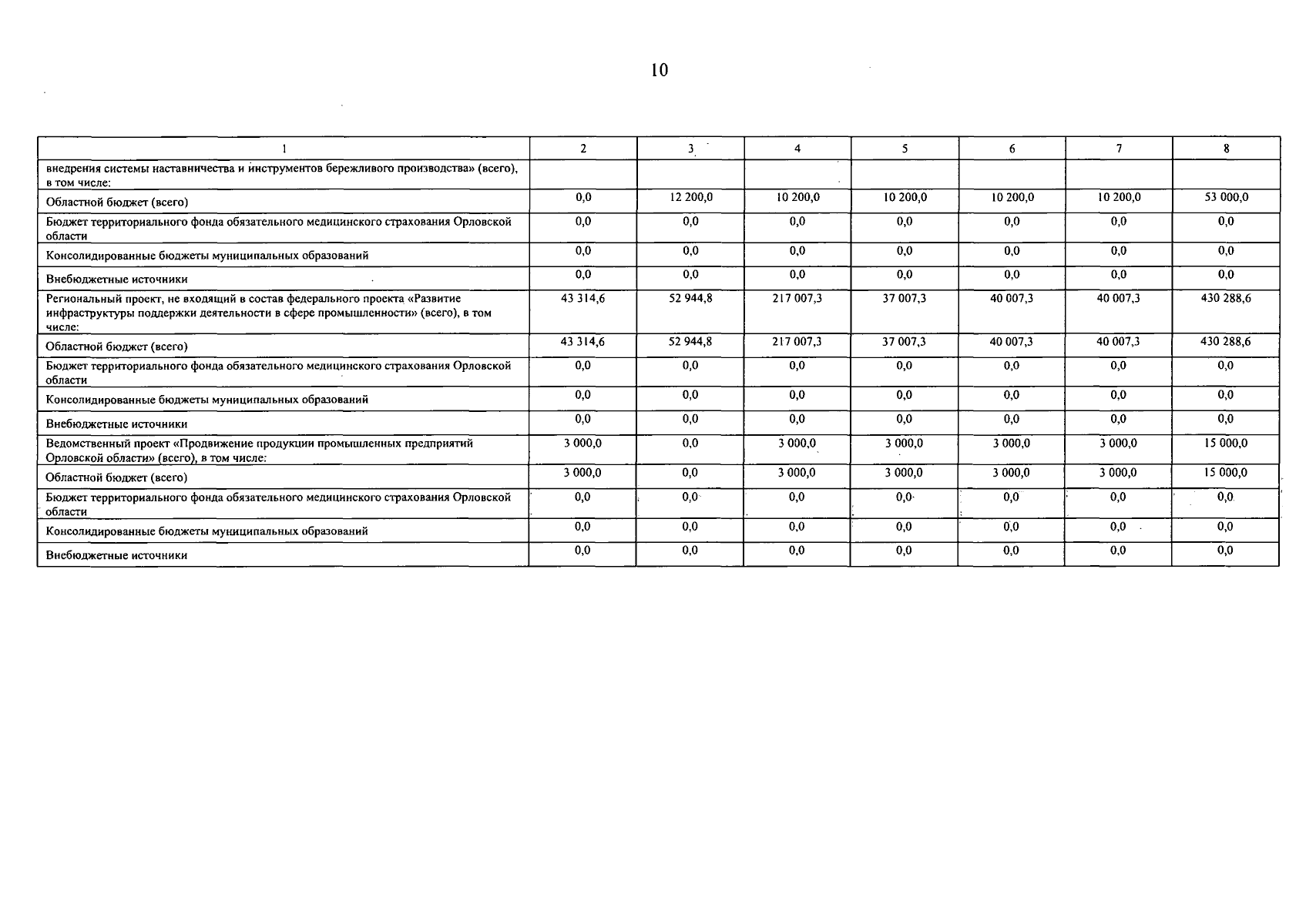
Постановление Правительства Орловской области от 22.10.2025 № 675
"О внесении изменений в постановление Правительства Орловской области от 28 декабря 2020 года № 820 "Об утверждении государственной программы Орловской области "Развитие промышленности Орловской области"
Номер опубликования: 5700202510220010
Дата опубликования: 22.10.2025
Страница №11 из 49:
Увеличить