Официальное опубликование правовых актов
ОФИЦИАЛЬНОЕ ОПУБЛИКОВАНИЕ
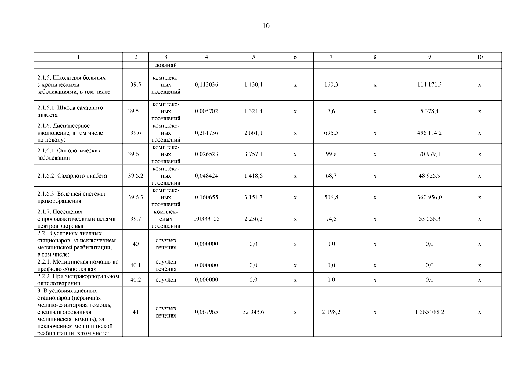
Постановление Правительства Орловской области от 16.10.2025 № 663
"О внесении изменений в постановление Правительства Орловской области от 16 января 2025 года № 17 "О Программе государственных гарантий бесплатного оказания гражданам медицинской помощи на территории Орловской области на 2025 год и на плановый период 2026 и 2027 годов"
Номер опубликования: 5700202510170005
Дата опубликования: 17.10.2025
Страница №22 из 124:
Увеличить