Официальное опубликование правовых актов
ОФИЦИАЛЬНОЕ ОПУБЛИКОВАНИЕ
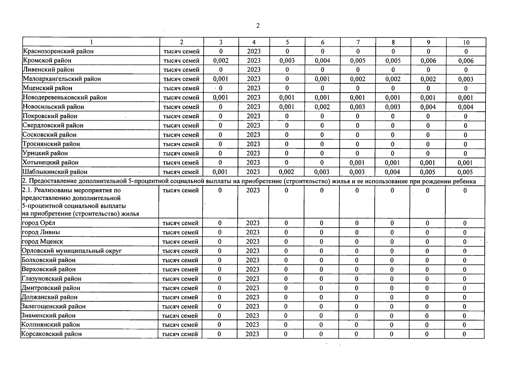
Постановление Правительства Орловской области от 01.09.2025 № 575
"О внесении изменений в постановление Правительства Орловской области от 4 октября 2019 года № 563 "Об утверждении государственной программы Орловской области "Стимулирование социального жилищного строительства в Орловской области"
Номер опубликования: 5700202509020002
Дата опубликования: 02.09.2025
Страница №17 из 20:
Увеличить