Официальное опубликование правовых актов
ОФИЦИАЛЬНОЕ ОПУБЛИКОВАНИЕ
Постановление Правительства Орловской области от 05.05.2025 № 315
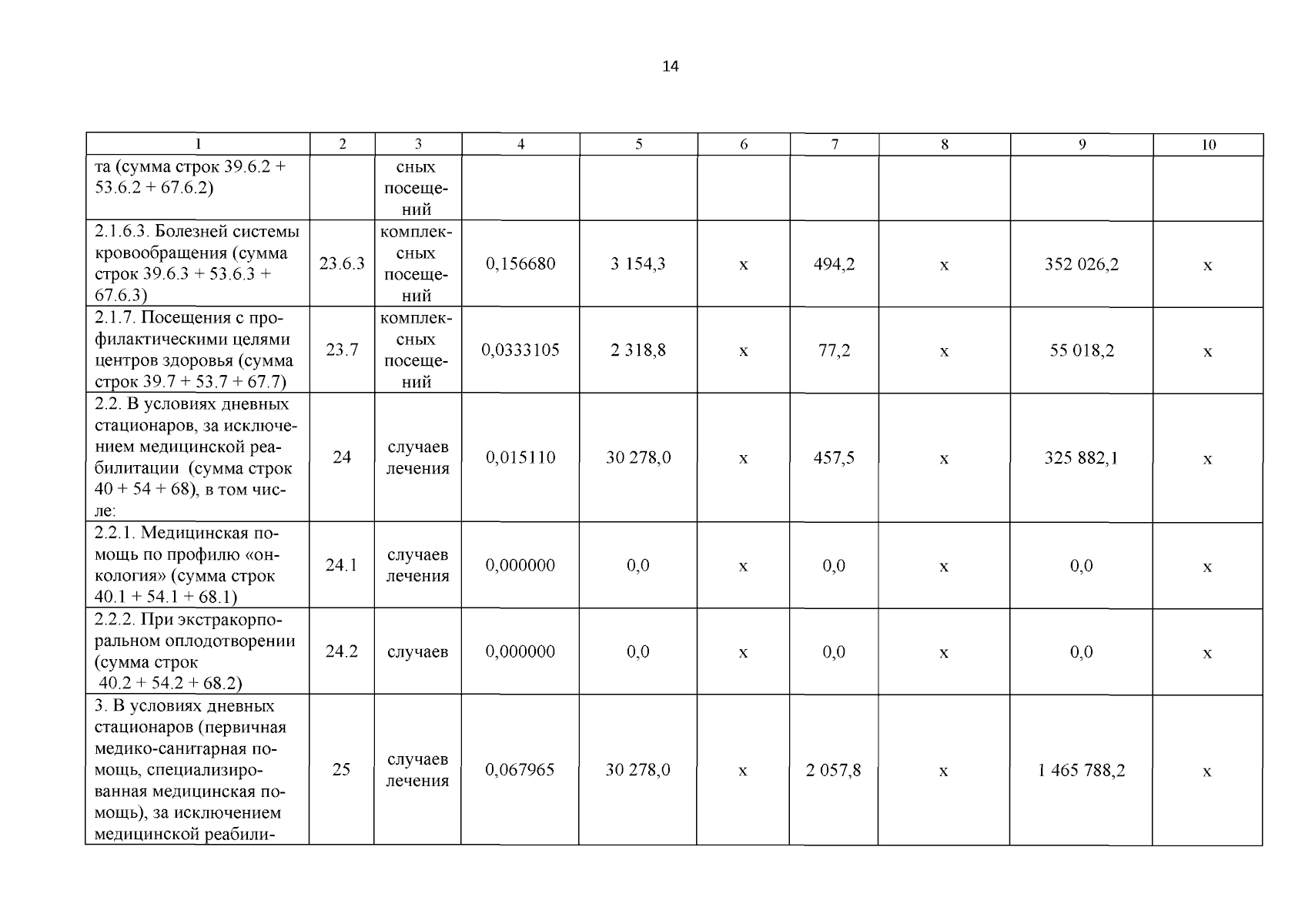
"О внесении изменений в постановление Правительства Орловской области от 16 января 2025 года № 17 "О Программе государственных гарантий бесплатного оказания гражданам медицинской помощи на территории Орловской области на 2025 год и на плановый период 2026 и 2027 годов"
Номер опубликования: 5700202505070001
Дата опубликования: 07.05.2025
Страница №31 из 218:
Увеличить