Официальное опубликование правовых актов
ОФИЦИАЛЬНОЕ ОПУБЛИКОВАНИЕ
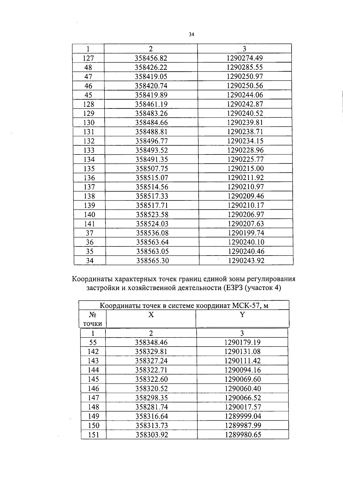
Постановление Правительства Орловской области от 27.02.2025 № 113
"Об установлении объединенной зоны охраны объектов культурного наследия федерального историко-культурного значения: "Мемориальный комплекс", 1943 г., расположенного по адресу: Орловская область, г. Орёл, сквер Танкистов, в районе дома № 5 по пл. Мира; "Братская могила танкистов, погибших при освобождении г. Орла в 1943 г.", 1943 г., расположенного по адресу: Орловская область, г. Орёл, сквер Танкистов, в районе дома № 5 по пл. Мира; "Памятный знак "Танк Т-34", установленный в честь танкистов, принимавших участие в освобождении г. Орла от немецко-фашистских захватчиков", 1943 г., расположенного по адресу: Орловская область, г. Орёл, сквер Танкистов, в районе дома № 5 по пл. Мира; объектов культурного наследия регионального историко-культурного значения: "Здание гостиницы "Орёл", 1952–1955 гг., расположенного по адресу: Орловская область, г. Орёл, пл. Мира, д. 4; "Здание совнархоза", 1-я половина XX в., расположенного по адресу: Орловская область, г. Орёл, пл. Мира, д. 9; "Дом жилой", 1935–1937 гг., расположенного по адресу: Орловская область, г. Орёл, пл. Мира, д. 5; "Дом книги", 1955 г., расположенного по адресу: Орловская область, г. Орёл, ул. Московская, д. 17"
Номер опубликования: 5700202502270009
Дата опубликования: 27.02.2025
Страница №37 из 43:
Увеличить