Официальное опубликование правовых актов
ОФИЦИАЛЬНОЕ ОПУБЛИКОВАНИЕ
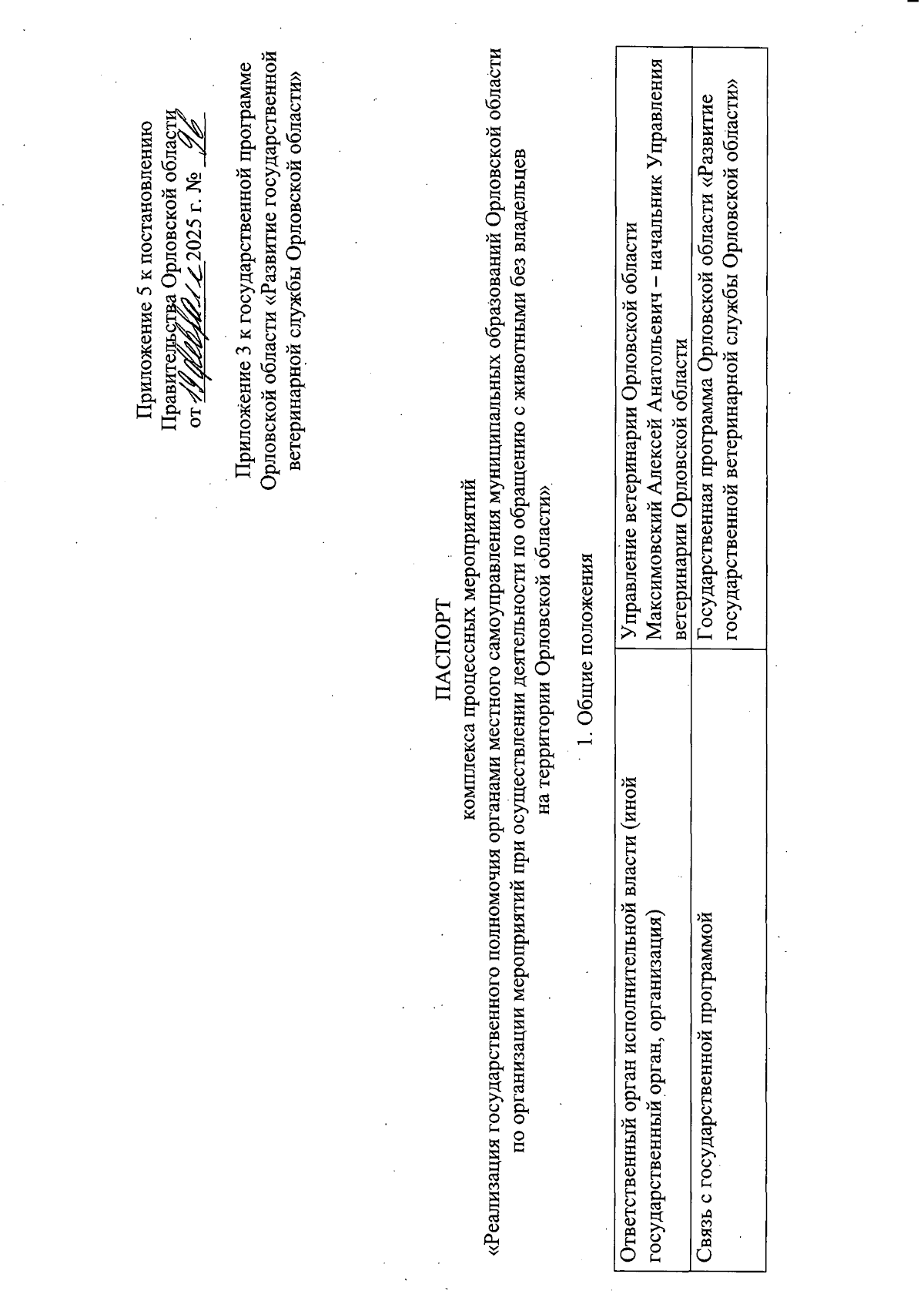
Постановление Правительства Орловской области от 19.02.2025 № 96
"О внесении изменений в постановление Правительства Орловской области от 11 октября 2019 года № 570 "Об утверждении государственной программы Орловской области "Развитие государственной ветеринарной службы Орловской области"
Номер опубликования: 5700202502210001
Дата опубликования: 21.02.2025
Страница №39 из 41:
Увеличить