Официальное опубликование правовых актов
ОФИЦИАЛЬНОЕ ОПУБЛИКОВАНИЕ
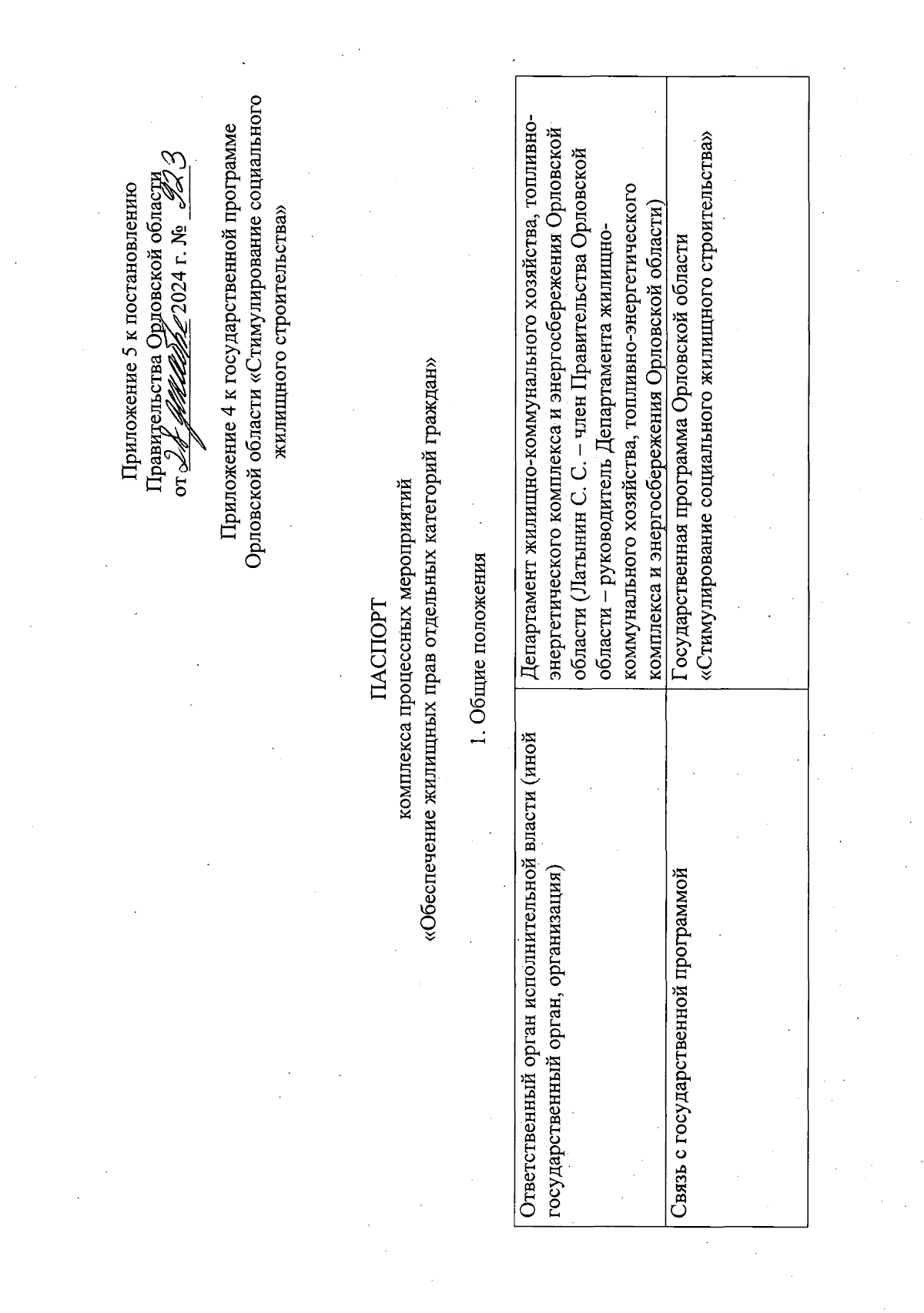
Постановление Правительства Орловской области от 28.12.2024 № 923
"О внесении изменений в постановление Правительства Орловской области от 4 октября 2019 года № 563 "Об утверждении государственной программы Орловской области "Стимулирование социального жилищного строительства в Орловской области"
Номер опубликования: 5700202501030012
Дата опубликования: 03.01.2025
Страница №66 из 76:
Увеличить