Официальное опубликование правовых актов
ОФИЦИАЛЬНОЕ ОПУБЛИКОВАНИЕ
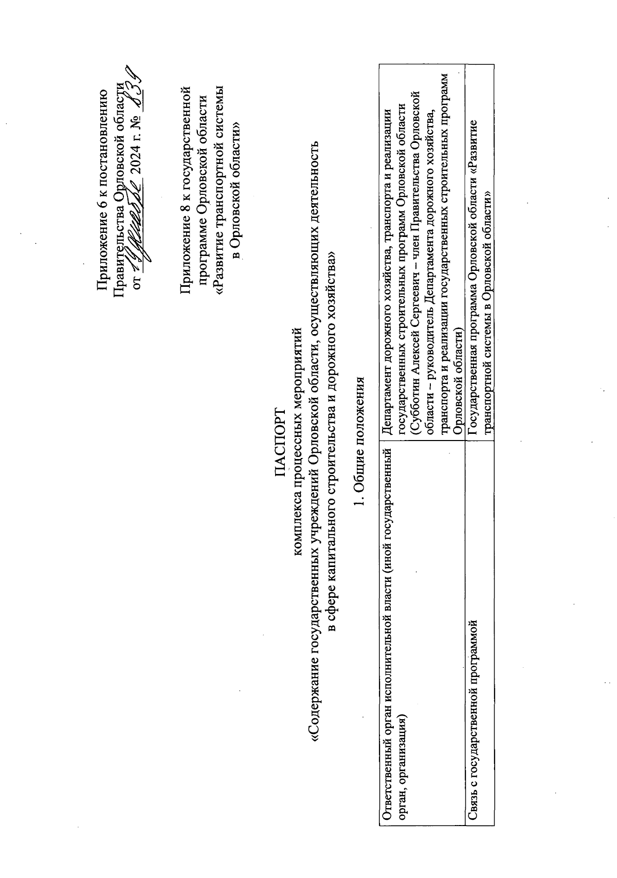
Постановление Правительства Орловской области от 19.12.2024 № 839
"О внесении изменений в постановление Правительства Орловской области от 15 января 2019 года № 8 "Об утверждении государственной программы Орловской области "Развитие транспортной системы в Орловской области"
Номер опубликования: 5700202412200012
Дата опубликования: 20.12.2024
Страница №76 из 83:
Увеличить