Официальное опубликование правовых актов
ОФИЦИАЛЬНОЕ ОПУБЛИКОВАНИЕ
Постановление Правительства Орловской области от 29.10.2024 № 702
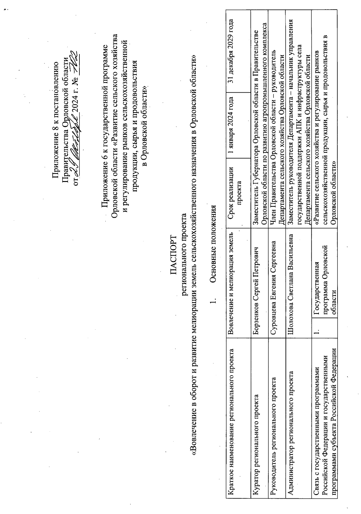
"О внесении изменений в постановление Правительства Орловской области от 16 декабря 2019 года № 689 "Об утверждении государственной программы Орловской области "Развитие сельского хозяйства и регулирование рынков сельскохозяйственной продукции, сырья и продовольствия в Орловской области"
Номер опубликования: 5700202410290003
Дата опубликования: 29.10.2024
Страница №41 из 57:
Увеличить