Официальное опубликование правовых актов
ОФИЦИАЛЬНОЕ ОПУБЛИКОВАНИЕ
Постановление Правительства Орловской области от 15.07.2024 № 465
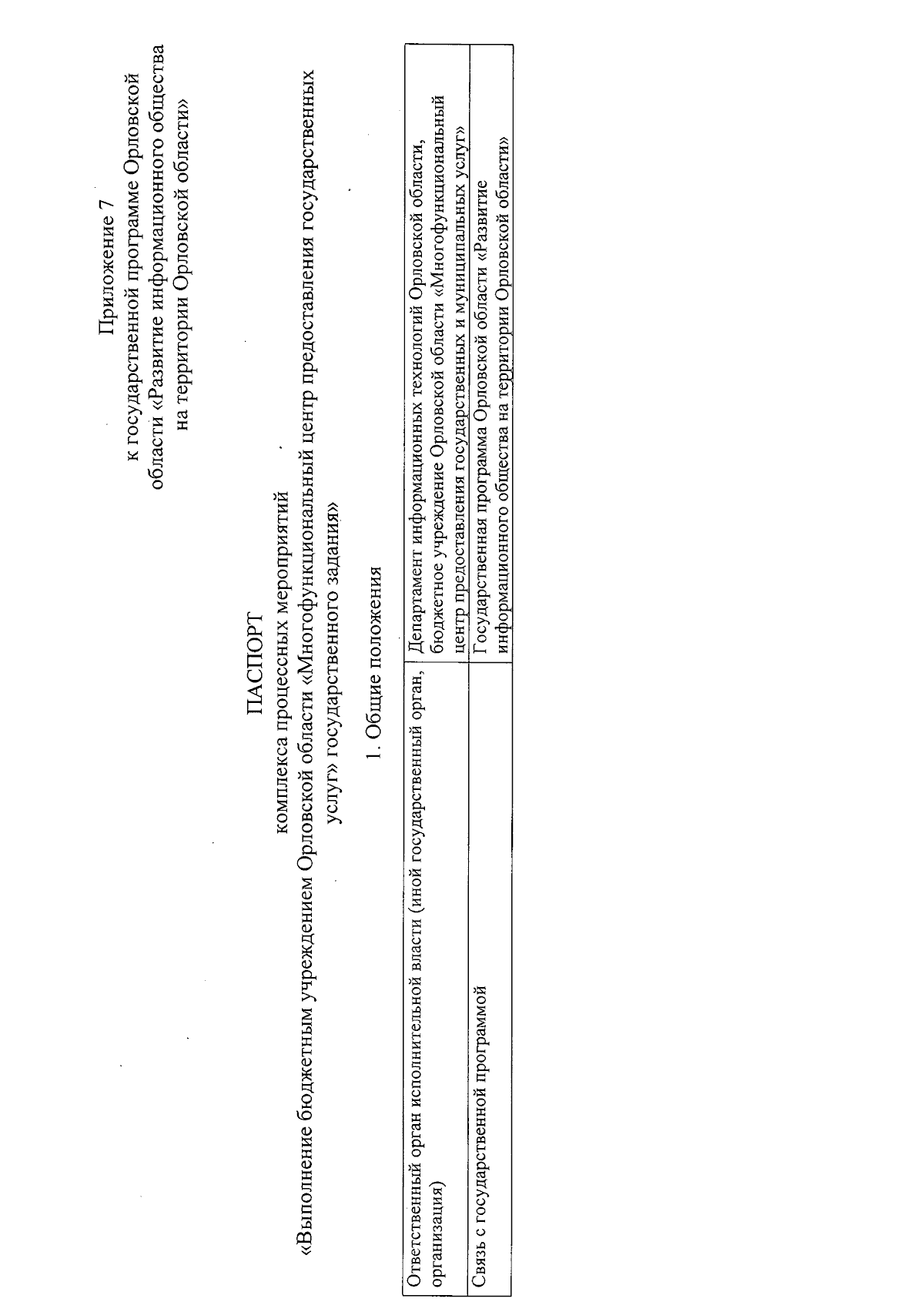
"О внесении изменения в постановление Правительства Орловской области от 28 ноября 2019 года № 660 "Об утверждении государственной программы Орловской области "Развитие информационного общества на территории Орловской области"
Номер опубликования: 5700202407180011
Дата опубликования: 18.07.2024
Страница №96 из 133:
Увеличить