Официальное опубликование правовых актов
ОФИЦИАЛЬНОЕ ОПУБЛИКОВАНИЕ
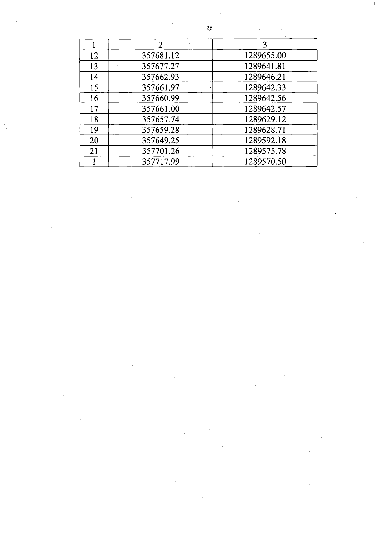
Постановление Правительства Орловской области от 26.03.2024 № 199
"Об установлении объединенной зоны охраны объектов культурного наследия регионального историко-культурного значения: "Дом жилой", XIX в., расположенный по адресу: г. Орёл, ул. 1-я Посадская, д. 44, "Дом жилой", XIX в., расположенный по адресу: г. Орёл, ул. Гагарина, д. 19, "Дом жилой", XIX в., расположенный по адресу: г. Орёл, ул. Гагарина, д. 21"
Номер опубликования: 5700202403270013
Дата опубликования: 27.03.2024
Страница №28 из 56:
Увеличить