Официальное опубликование правовых актов
ОФИЦИАЛЬНОЕ ОПУБЛИКОВАНИЕ
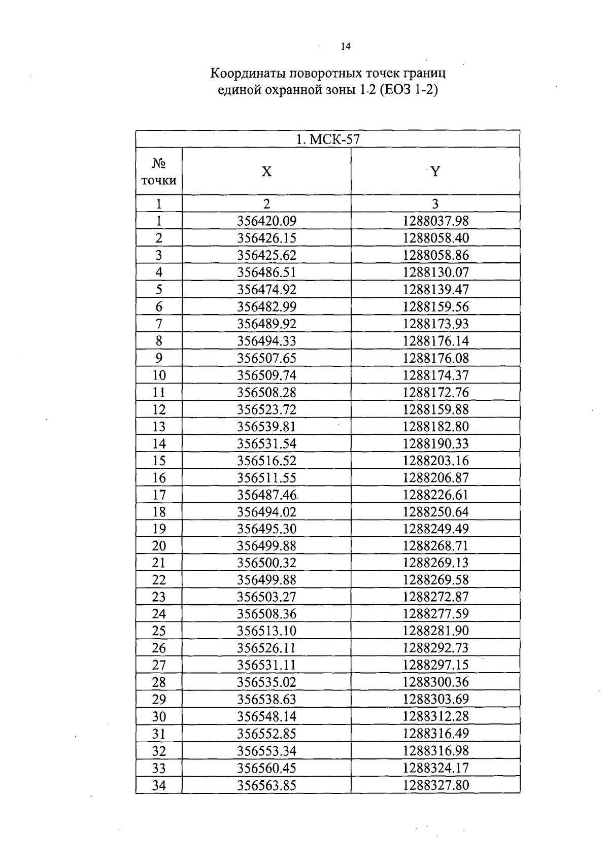
Постановление Правительства Орловской области от 12.03.2024 № 168
"Об установлении объединенной зоны охраны объектов культурного наследия регионального историко-культурного значения, расположенных на территории "Крестительского кладбища" г. Орла"
Номер опубликования: 5700202403140003
Дата опубликования: 14.03.2024
Страница №16 из 50:
Увеличить