Официальное опубликование правовых актов
ОФИЦИАЛЬНОЕ ОПУБЛИКОВАНИЕ
Постановление Правительства Орловской области от 06.03.2024 № 156
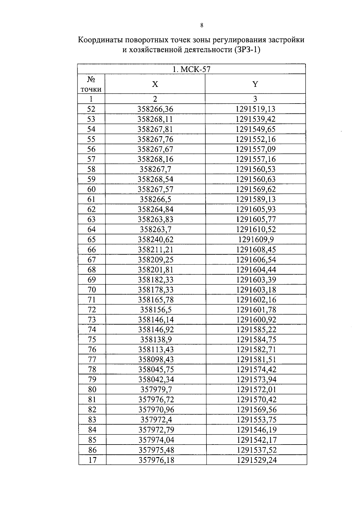
"Об установлении зон охраны объекта культурного наследия федерального историко-культурного значения "Здание семинарии, где учился декабрист Семенов Степан Михайлович", 1827–1918 годы, расположенного по адресу: Орловская область, г. Орёл, ул. Студенческая, д. 2"
Номер опубликования: 5700202403070003
Дата опубликования: 07.03.2024
Страница №10 из 26:
Увеличить