Официальное опубликование правовых актов
ОФИЦИАЛЬНОЕ ОПУБЛИКОВАНИЕ
Постановление Правительства Орловской области от 08.02.2024 № 75
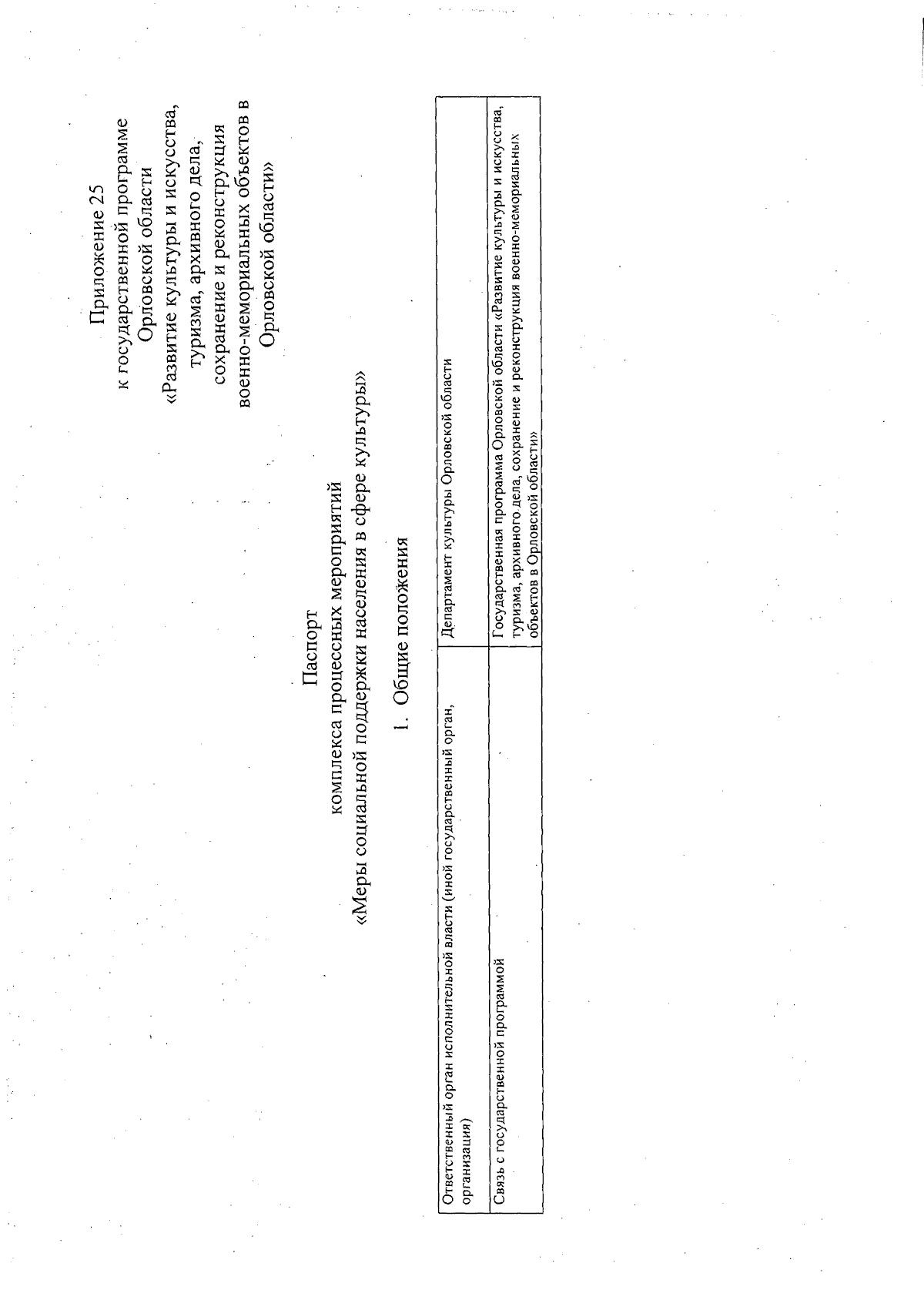
"О внесении изменения в постановление Правительства Орловской области от 23 декабря 2019 года № 716 "Об утверждении государственной программы Орловской области "Развитие культуры и искусства, туризма, архивного дела, сохранение и реконструкция военно-мемориальных объектов в Орловской области"
Номер опубликования: 5700202402120008
Дата опубликования: 12.02.2024
Страница №154 из 292:
Увеличить