Официальное опубликование правовых актов
ОФИЦИАЛЬНОЕ ОПУБЛИКОВАНИЕ
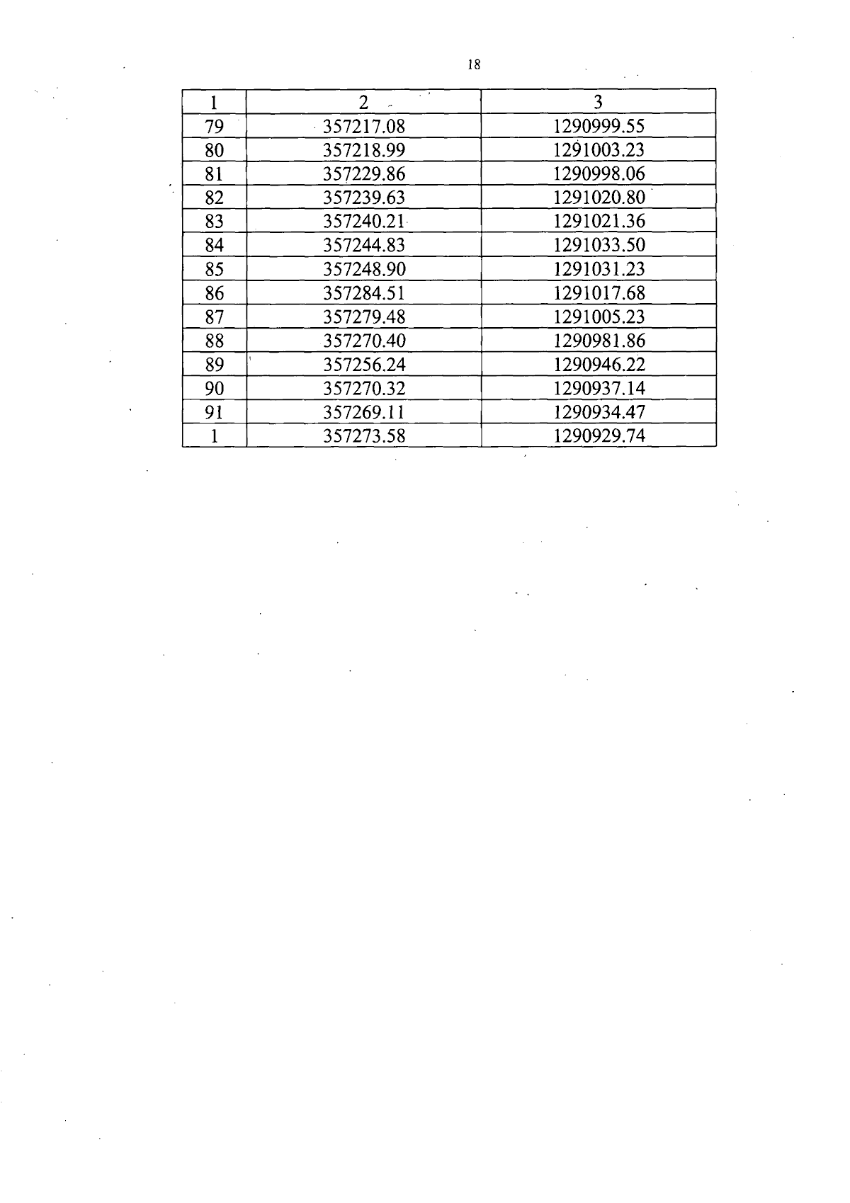
Постановление Правительства Орловской области от 09.02.2024 № 79
"Об установлении зоны охраны объекта культурного наследия регионального историко- культурного значения "Ансамбль бывшего Введенского женского монастыря", 1895 г., расположенного по адресу: Орловская область, г. Орел, ул. 1-я Курская, 92"
Номер опубликования: 5700202402120006
Дата опубликования: 12.02.2024
Страница №20 из 33:
Увеличить