Официальное опубликование правовых актов
ОФИЦИАЛЬНОЕ ОПУБЛИКОВАНИЕ
Постановление Правительства Орловской области от 01.02.2024 № 60
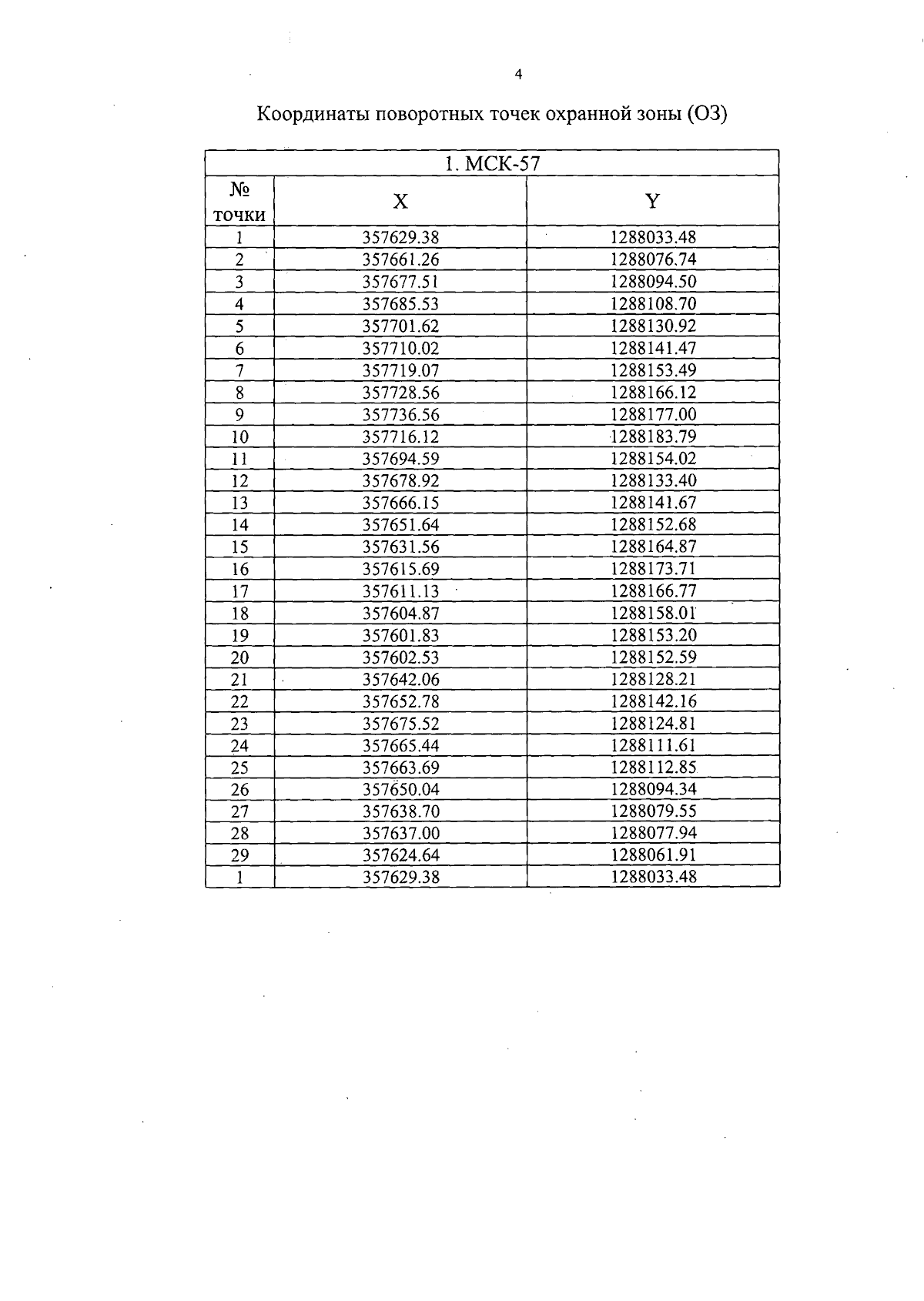
"Об установлении зон охраны объекта культурного наследия федерального историко-культурного значения "Дом, в котором прошли детские и юношеские годы писателя Андреева Леонида Николаевича", 1874–1891 гг., расположенного по адресу: Орловская область, г. Орел, ул. 2-я Пушкарная, 41"
Номер опубликования: 5700202402020006
Дата опубликования: 02.02.2024
Страница №6 из 14:
Увеличить