Официальное опубликование правовых актов
ОФИЦИАЛЬНОЕ ОПУБЛИКОВАНИЕ
Постановление Правительства Орловской области от 27.12.2023 № 899
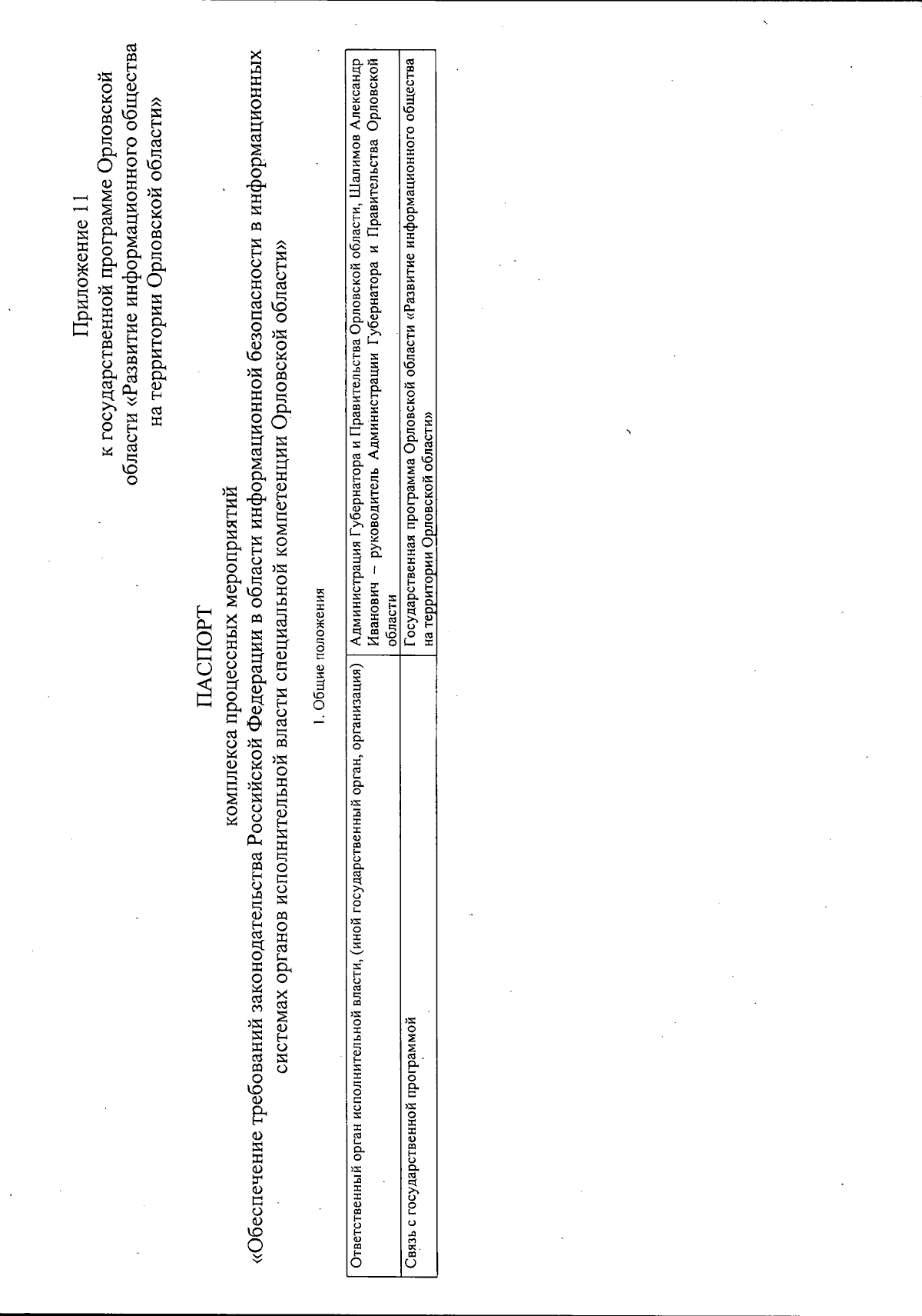
"О внесении изменения в постановление Правительства Орловской области от 28 ноября 2019 года № 660 "Об утверждении государственной программы Орловской области "Развитие информационного общества на территории Орловской области"
Номер опубликования: 5700202312280006
Дата опубликования: 28.12.2023
Страница №115 из 127:
Увеличить