Официальное опубликование правовых актов
ОФИЦИАЛЬНОЕ ОПУБЛИКОВАНИЕ
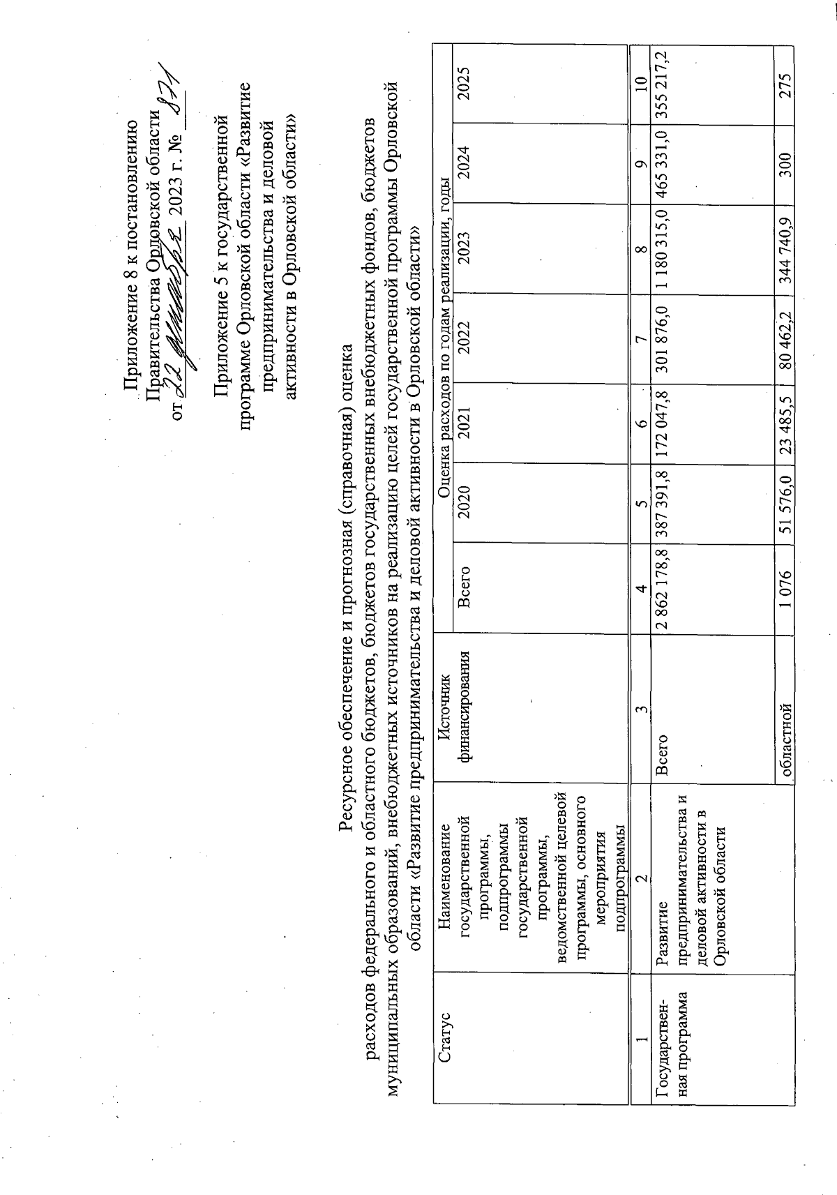
Постановление Правительства Орловской области от 22.12.2023 № 871
"О внесении изменений в постановление Правительства Орловской области от 9 сентября 2019 года № 508 "Об утверждении государственной программы Орловской области "Развитие предпринимательства и деловой активности в Орловской области"
Номер опубликования: 5700202312250006
Дата опубликования: 25.12.2023
Страница №34 из 45:
Увеличить