Официальное опубликование правовых актов
ОФИЦИАЛЬНОЕ ОПУБЛИКОВАНИЕ
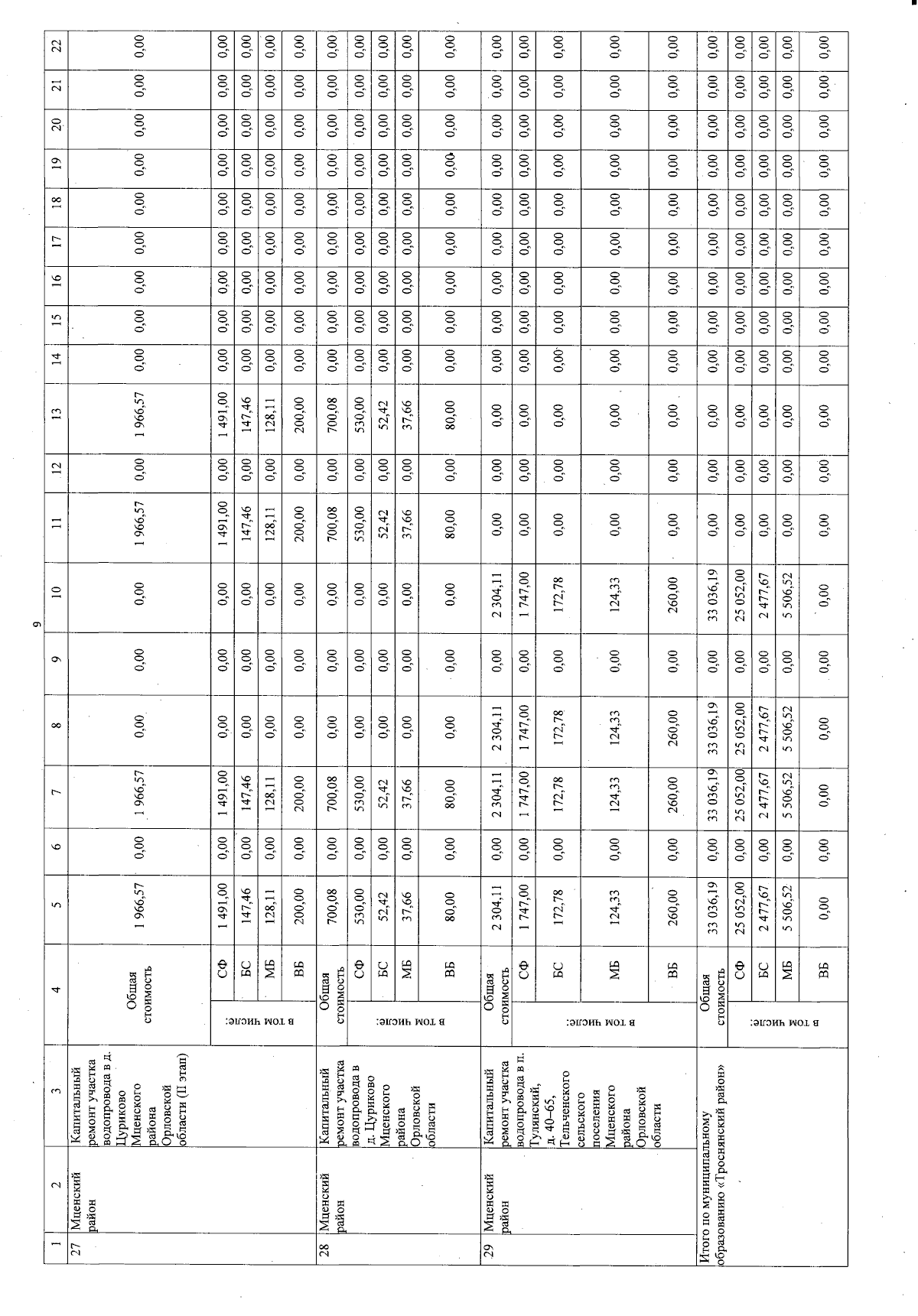
Постановление Правительства Орловской области от 09.08.2023 № 577
"О внесении изменений в постановление Правительства Орловской области от 8 февраля 2023 года № 103 "Об утверждении региональной программы "Модернизация систем коммунальной инфраструктуры Орловской области" на 2023−2027 годы"
Номер опубликования: 5700202308100004
Дата опубликования: 10.08.2023
Страница №44 из 112:
Увеличить