Официальное опубликование правовых актов
ОФИЦИАЛЬНОЕ ОПУБЛИКОВАНИЕ
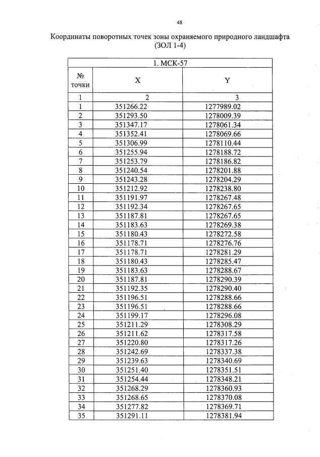
Постановление Правительства Орловской области от 22.03.2023 № 240
"Об установлении зон охраны объекта культурного наследия федерального историко-культурного значения "Ансамбль Сабуровской крепости", XVIII в., расположенного по адресу: Орловская область, Орловский район, с. Сабурово"
Номер опубликования: 5700202303230001
Дата опубликования: 23.03.2023
Страница №50 из 60:
Увеличить