Официальное опубликование правовых актов
ОФИЦИАЛЬНОЕ ОПУБЛИКОВАНИЕ
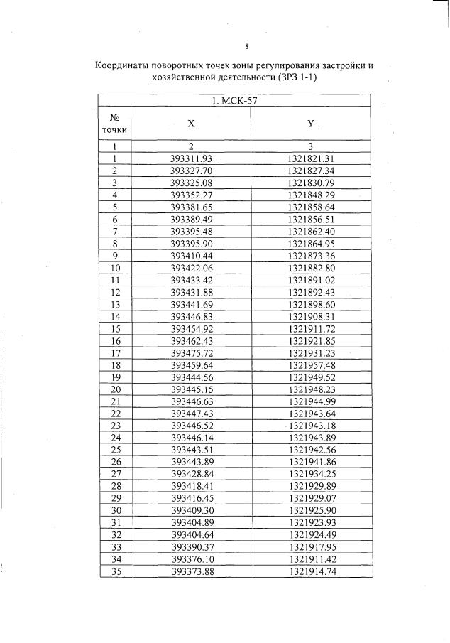
Постановление Правительства Орловской области от 01.03.2023 № 167
"Об установлении зон охраны объекта культурного наследия федерального историко-культурного значения "Церковь Петра и Павла", XVI–XVII вв., расположенного по адресу: Орловская область, г. Мценск, ул. Захарьева, д. 5"
Номер опубликования: 5700202303020008
Дата опубликования: 02.03.2023
Страница №10 из 24:
Увеличить