Официальное опубликование правовых актов
ОФИЦИАЛЬНОЕ ОПУБЛИКОВАНИЕ
Постановление Правительства Орловской области от 20.02.2023 № 150
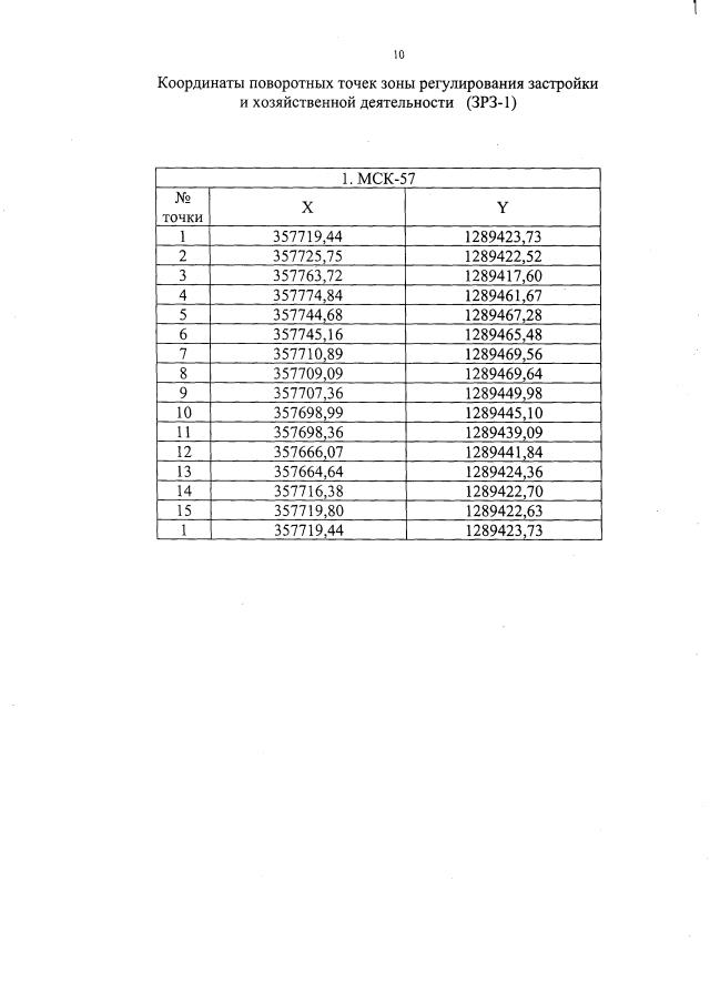
"Об установлении зон охраны объекта культурного наследия местного (муниципального) историко-культурного значения "Кинотеатр "Октябрь", середина XX в., расположенного по адресу: Орловская область, г. Орёл, ул. Комсомольская, д. 13"
Номер опубликования: 5700202302200003
Дата опубликования: 20.02.2023
Страница №12 из 29:
Увеличить