Официальное опубликование правовых актов
ОФИЦИАЛЬНОЕ ОПУБЛИКОВАНИЕ
Постановление Правительства Орловской области от 16.02.2023 № 140
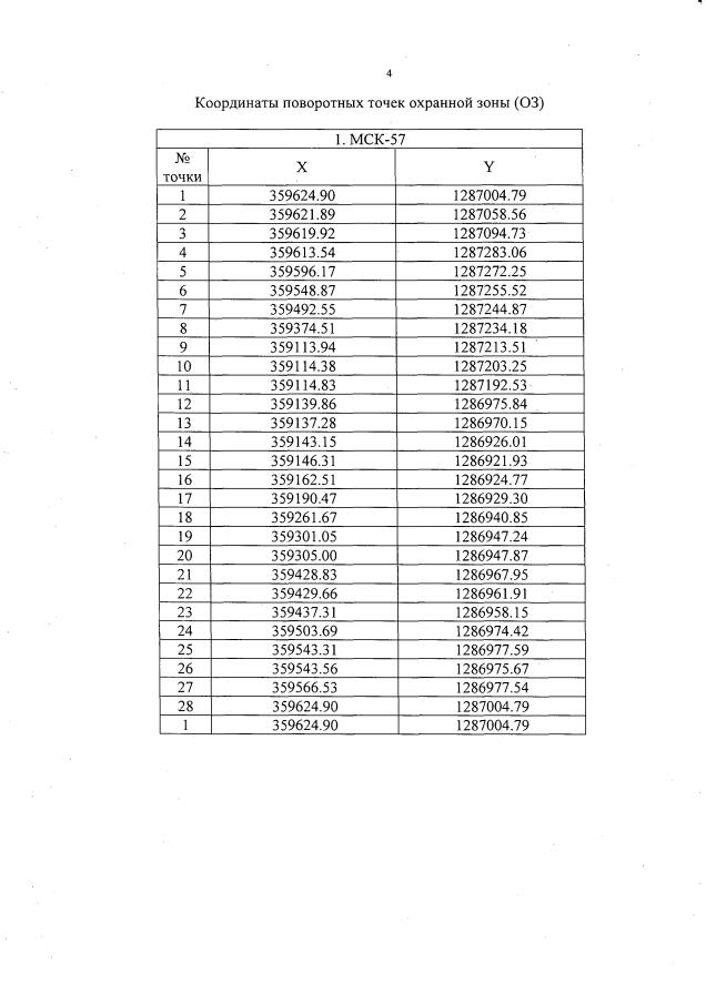
"Об установлении зон охраны объекта культурного наследия регионального историко-культурного значения "Комплекс зданий и сооружений Орловского государственного аграрного университета", 1984–1994 гг., расположенного по адресу: Орловская область, г. Орёл"
Номер опубликования: 5700202302160006
Дата опубликования: 16.02.2023
Страница №6 из 8:
Увеличить