Официальное опубликование правовых актов
ОФИЦИАЛЬНОЕ ОПУБЛИКОВАНИЕ
Постановление Правительства Орловской области от 15.02.2023 № 139
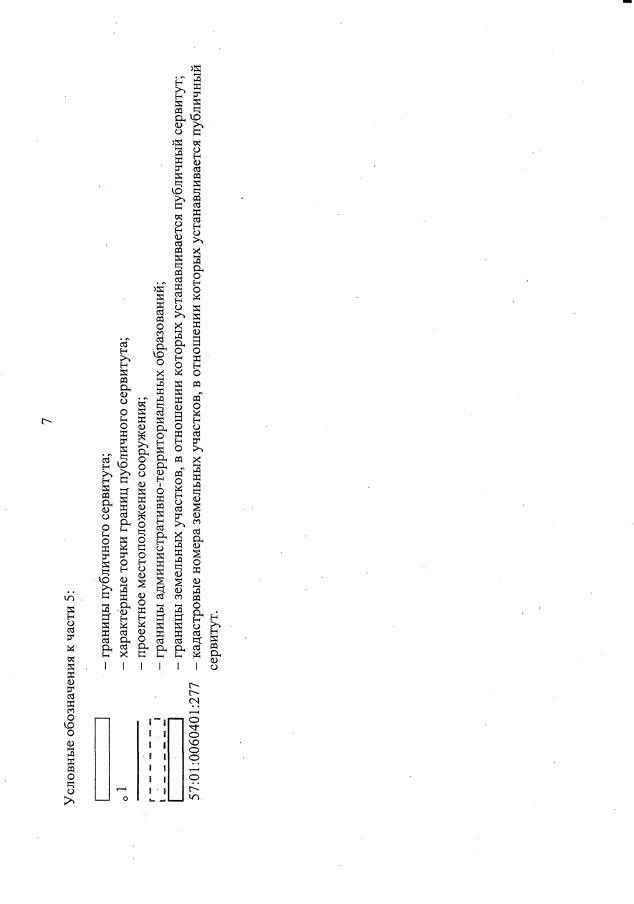
"Об установлении публичного сервитута в целях размещения линейного объекта "Газопровод межпоселковый к д. Новый Колодец и п. Новомихайловский Дмитровского района Орловской области"
Номер опубликования: 5700202302160004
Дата опубликования: 16.02.2023
Страница №11 из 21:
Увеличить