Официальное опубликование правовых актов
ОФИЦИАЛЬНОЕ ОПУБЛИКОВАНИЕ
Постановление Правительства Орловской области от 10.02.2023 № 129
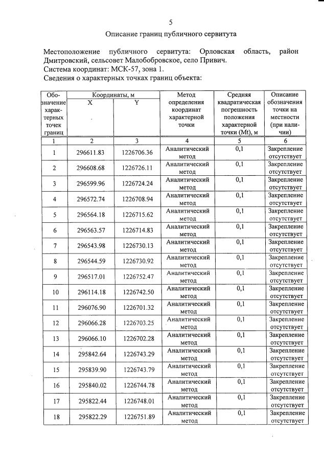
"Об установлении публичного сервитута в целях размещения линейного объекта "Газопровод межпоселковый к с. Привич Дмитровского района Орловской области"
Номер опубликования: 5700202302140006
Дата опубликования: 14.02.2023
Страница №7 из 9:
Увеличить