Официальное опубликование правовых актов
ОФИЦИАЛЬНОЕ ОПУБЛИКОВАНИЕ
Постановление Правительства Орловской области от 10.02.2023 № 130
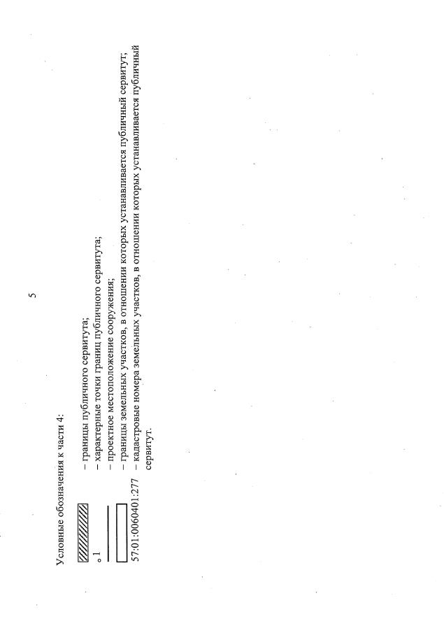
"Об установлении публичного сервитута в целях размещения линейного объекта "Газопровод межпоселковый к с. Подолянь Глазуновского района Орловской области"
Номер опубликования: 5700202302140005
Дата опубликования: 14.02.2023
Страница №7 из 16:
Увеличить