Официальное опубликование правовых актов
ОФИЦИАЛЬНОЕ ОПУБЛИКОВАНИЕ
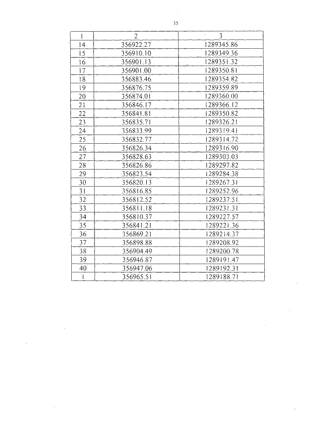
Постановление Правительства Орловской области от 08.02.2023 № 102
"Об установлении зон охраны объекта культурного наследия регионального историко-культурного значения "Церковь Смоленской Божьей Матери", 1850–1894 гг., расположенного по адресу: Орловская область, г. Орёл, ул. Нормандия-Неман, д. 27а"
Номер опубликования: 5700202302090006
Дата опубликования: 09.02.2023
Страница №37 из 44:
Увеличить