Официальное опубликование правовых актов
ОФИЦИАЛЬНОЕ ОПУБЛИКОВАНИЕ
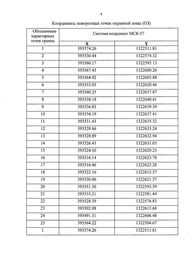
Постановление Правительства Орловской области от 30.01.2023 № 70
"Об установлении зон охраны объекта культурного наследия регионального историко-культурного значения "Дом усадьбы Шеншиных", конец XVIII – начало XIX вв., расположенного по адресу: Орловская область, г. Мценск, ул. Ленина, д. 5"
Номер опубликования: 5700202301310005
Дата опубликования: 31.01.2023
Страница №6 из 12:
Увеличить