Официальное опубликование правовых актов
ОФИЦИАЛЬНОЕ ОПУБЛИКОВАНИЕ
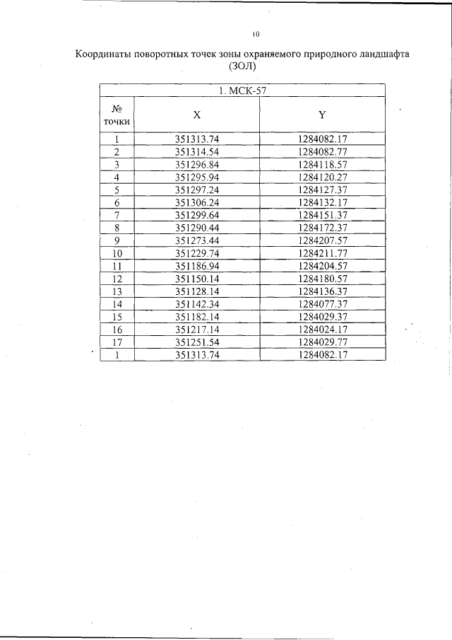
Постановление Правительства Орловской области от 30.12.2022 № 883
"Об установлении зон охраны объекта культурного наследия регионального историко-культурного значения "Здание бывшей мельницы купца Бакина", 1892 г., расположенного по адресу: Орловская область, Орловский район, пгт Знаменка, ул. Заречная, д. 16"
Номер опубликования: 5700202301040015
Дата опубликования: 04.01.2023
Страница №12 из 16:
Увеличить