Официальное опубликование правовых актов
ОФИЦИАЛЬНОЕ ОПУБЛИКОВАНИЕ
Постановление Правительства Орловской области от 30.12.2022 № 876
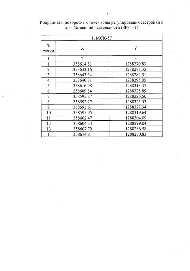
"Об установлении зон охраны объекта культурного наследия регионального историко-культурного значения "Дом, где прошли последние часы жизни командира рабочего полка Медведева Михаила Григорьевича", 14 октября 1919 г., расположенного по адресу: Орловская область, г. Орёл, ул. Новикова, д. 12"
Номер опубликования: 5700202212300029
Дата опубликования: 30.12.2022
Страница №9 из 15:
Увеличить