Официальное опубликование правовых актов
ОФИЦИАЛЬНОЕ ОПУБЛИКОВАНИЕ
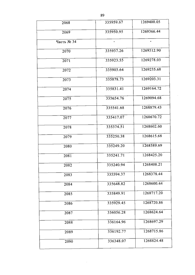
Закон Орловской области от 12.12.2022 № 2841-ОЗ
"О внесении изменений в Закон Орловской области "О статусе, границах и административных центрах муниципальных образований на территории Орловского района Орловской области"
Номер опубликования: 5700202212120027
Дата опубликования: 12.12.2022
Страница №93 из 297:
Увеличить