Официальное опубликование правовых актов
ОФИЦИАЛЬНОЕ ОПУБЛИКОВАНИЕ
Постановление Правительства Орловской области от 11.11.2022 № 703
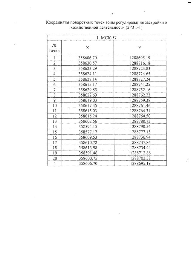
"Об установлении зон охраны объекта культурного наследия регионального историко-культурного значения "Дом жилой", XIX в., расположенного по адресу: Орловская область, г. Орёл, ул. Салтыкова-Щедрина, д. 23"
Номер опубликования: 5700202211140003
Дата опубликования: 14.11.2022
Страница №9 из 15:
Увеличить