Официальное опубликование правовых актов
ОФИЦИАЛЬНОЕ ОПУБЛИКОВАНИЕ
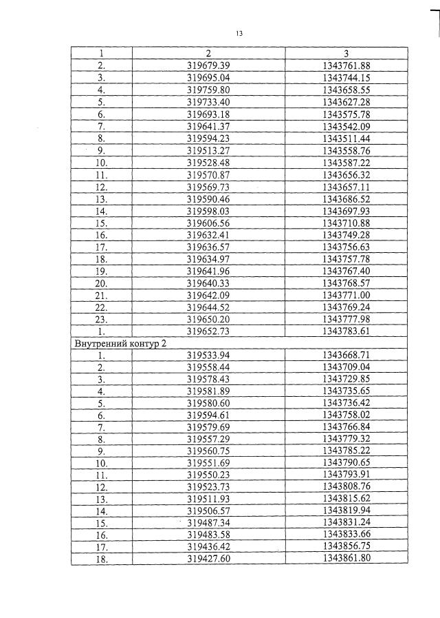
Постановление Правительства Орловской области от 31.10.2022 № 657
"О внесении изменений в постановление Правительства Орловской области от 28 мая 2021 года № 306 "Об утверждении Перечня исторических поселений, имеющих особое значение для истории и культуры Орловской области, а также предметов охраны, границ территорий и требований к градостроительным регламентам в указанных границах таких исторических поселений"
Номер опубликования: 5700202211010002
Дата опубликования: 01.11.2022
Страница №73 из 113:
Увеличить