Официальное опубликование правовых актов
ОФИЦИАЛЬНОЕ ОПУБЛИКОВАНИЕ
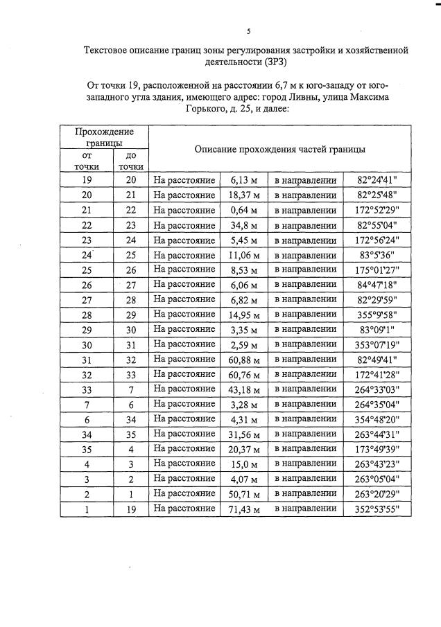
Постановление Правительства Орловской области от 25.10.2022 № 631
"О внесении изменений в постановление Правительства Орловской области от 17 марта 2020 года № 150 "Об установлении зон охраны объекта культурного наследия регионального значения "Дом жилой", XIX в., расположенного по адресу: Орловская область, г. Ливны, ул. Дзержинского, д. 94"
Номер опубликования: 5700202210270002
Дата опубликования: 27.10.2022
Страница №7 из 14:
Увеличить